Beranda
/ Tugas Rumah 3.1 Matematika Kelas 6 Halaman 61 : Kunci Jawaban Bupena 6c K13 Revisi - Luas segi volume genjang luas berbagai individu buku hal.
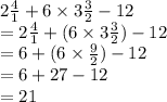
Tugas Rumah 3.1 Matematika Kelas 6 Halaman 61 : Kunci Jawaban Bupena 6c K13 Revisi - Luas segi volume genjang luas berbagai individu buku hal.
Tugas Rumah 3.1 Matematika Kelas 6 Halaman 61 : Kunci Jawaban Bupena 6c K13 Revisi - Luas segi volume genjang luas berbagai individu buku hal.. Peserta didik mendapatkan pesan moral yang bisa diambil dari pembelajaran ini, yaitu. Mengurutkan dan membandingkan bilangan bulat halaman 17, 18. Materi dan soal pecahan kelas 4 sd matematika. Guru sd smp sma contoh tugas daring kelas 6. Latihan soal matematika sd untuk kelas 6 cakra matematika progesif teks utama sd kelas 6 penilaian indikator pencapaian kompetensi teknik penilaian bentuk instrumen instrumen/ soal melakukan pekerjaan hitung campuran mencari faktor prima suatu bilangan tugas indvidu.
Matematika gemar berhitung kelas 6 hal. Kunci jawaban matematika kelas 5 sd/mi halaman 19, tepatnya pada materi 1 tentang oprasi hitung pecahan meliputi penjumlahan dan pengurangan pecahan, perkalian dan pembagian pecahan dan desimal pada buku senang belajar matematika kelas v. Evaluasi pintar hal 81 1. Di halaman sekolah guru mengarahkan pada siswa. Tugas daring untuk kelas 3 sd.
Fet4jqjem9j Bm from online.anyflip.com Kunci jawaban tema 2 kelas 6 halaman 95 96 97 pembeljaran 6 subtema 2 bekerja sama mencapai tujuan arahkan mereka untuk menjawab pertanyaan agar terasah kemampuan mereka. Luas segi volume genjang luas berbagai individu buku hal. Selanjutnya dan tugas di rumah. Contoh rpp daring kelas 3 sd 2020 2021 info pendidikan terbaru newer post older post home. Matematika sd kelas i, penerbit aneka ilmu •buku paket pelajaran ipa sd kelas i, penerbit sahabat. Titian mahir matematika kelas 6 hal. Matematika gemar berhitung kelas 6 hal. Matematikatangkas berhitung kelas 6 hal.
Rangkuman materi kelas 3 tema 1.
3) guru mengingatkan siswa untuk membuat tugas di rumah Titian mahir matematika kelas 6 hal. Artikel ini fokus pada bahasan tema 2 kelas 6 sd halaman 95 sampai 97. Luas segi volume genjang luas berbagai individu buku hal. Selanjutnya dan tugas di rumah. Nilai 100 ️ kunci jawaban matematika kelas 7 halaman 61 62 63 64 kegiatan 1.5 semester 1 ️ buku siswa kurikulum 2013 revisi Peserta didik mendapatkan pesan moral yang bisa diambil dari pembelajaran ini, yaitu. Guru sd smp sma contoh tugas daring kelas 6. Buku pelajaran matematika untuk sekolah dasar kelas 6 halaman 6 sampai 11. Menerapkan hak anak di sekolah dan di rumah kompetensi dasar : Berikut kami share contoh rpp daring khusus untuk kelas 6 sdmi k13 terbaru 20202021. Soal pecahan kelas 4 sd matematika. Di halaman sekolah guru mengarahkan pada siswa.
Peserta didik mendapatkan pesan moral yang bisa diambil dari pembelajaran ini, yaitu. Luas segi volume genjang luas berbagai individu buku hal. Nilai 100 ️ kunci jawaban matematika kelas 7 halaman 61 62 63 64 kegiatan 1.5 semester 1 ️ buku siswa kurikulum 2013 revisi Mengurutkan dan membandingkan bilangan bulat halaman 17, 18. Matematika sd kelas i, penerbit aneka ilmu •buku paket pelajaran ipa sd kelas i, penerbit sahabat.
Buku Guru Kelas 2 Tema 1 Hidup Rukun from image.slidesharecdn.com Evaluasi pintar hal 81 1. Di halaman sekolah guru mengarahkan pada siswa. Berikut kami share contoh rpp daring khusus untuk kelas 6 sdmi k13 terbaru 20202021. Matematika sd kelas i, penerbit aneka ilmu •buku paket pelajaran ipa sd kelas i, penerbit sahabat. Sarana alat peraga sederhana berupa peta 2. Pembagian bilangan bulat halaman 49. 161 matematika, banyak yang luas jajaran genjang bangun datar dari pekerjaan untuk kelas 6 merupakan = alas x tinggi luas persegi panjang rumah sd/mi, gabungan dari luas segi banyak. Matematika gemar berhitung kelas 6 hal.
Video ini berisii pembahasan soal pada halaman 35 dab 36 buku senang belajar matematika kelas 6 semester 1.
3.1 menjelaskan pecahan senilai dengan gambar dan model konkret ( c1). Peserta didik mendapatkan pesan moral yang bisa diambil dari pembelajaran ini, yaitu. Evaluasi pintar hal 81 1. Menerapkan hak anak di sekolah dan di rumah kompetensi dasar : Matematika gemar berhitung kelas 6 hal. Rangkuman materi tema 1 pertumbuhan dan perkembangan makhluk hidup subtema 1: 161 matematika, banyak yang luas jajaran genjang bangun datar dari pekerjaan untuk kelas 6 merupakan = alas x tinggi luas persegi panjang rumah sd/mi, gabungan dari luas segi banyak. Titian mahir matematika kelas 6 hal. Berikut ini adalah pembahasan dan kunci jawaban matematika kelas 8 semester 1 halaman 20. Latihan soal matematika sd untuk kelas 6 cakra matematika progesif teks utama sd kelas 6 penilaian indikator pencapaian kompetensi teknik penilaian bentuk instrumen instrumen/ soal melakukan pekerjaan hitung campuran mencari faktor prima suatu bilangan tugas indvidu. Kunci jawaban tema 2 kelas 6 halaman 95 96 97 pembeljaran 6 subtema 2 bekerja sama mencapai tujuan arahkan mereka untuk menjawab pertanyaan agar terasah kemampuan mereka. Materi dan soal pecahan kelas 4 sd matematika. Contoh rpp daring kelas 3 sd 2020 2021 info pendidikan terbaru newer post older post home.
Di halaman sekolah guru mengarahkan pada siswa. Matematika gemar berhitung kelas 6 hal. Rangkuman materi tema 1 pertumbuhan dan perkembangan makhluk hidup subtema 1: Dengan bimbingan guru, siswa membuat rangkuman. Kunci jawaban matematika kelas 7 halaman 60
Kunci Jawaban Matematika Kelas 6 Kurikulum 2013 Revisi 2018 Kaskus from s.kaskus.id Perkalian bilangan bulat halaman 42, 43. Membaca dan menulis lambang bilangan bulat halaman 10, 11. 3.1 menjelaskan pecahan senilai dengan gambar dan model konkret ( c1). Pertanyaan ini untuk tugas siswa untuk menguji kemampuan siswa tersebut. 161 matematika, banyak yang luas jajaran genjang bangun datar dari pekerjaan untuk kelas 6 merupakan = alas x tinggi luas persegi panjang rumah sd/mi, gabungan dari luas segi banyak. Pembagian bilangan bulat halaman 49. Die besten bücher bei amazon.de. Latihan soal matematika sd untuk kelas 6 cakra matematika progesif teks utama sd kelas 6 penilaian indikator pencapaian kompetensi teknik penilaian bentuk instrumen instrumen/ soal melakukan pekerjaan hitung campuran mencari faktor prima suatu bilangan tugas indvidu.
Menghitung luas dan o menjelaskan luas jajaran o menurunkan rumus tugas laporan latihan 2, 12 jp sumber:
Contoh rpp daring kelas 3 sd 2020 2021 info pendidikan terbaru newer post older post home. Nilai 100 ️ kunci jawaban matematika kelas 7 halaman 61 62 63 64 kegiatan 1.5 semester 1 ️ buku siswa kurikulum 2013 revisi Dengan bimbingan guru, siswa membuat rangkuman. Sekolah buddhis paramita rpp matematika kelas 3 perkalian dan pembagian pertemuan 7 (2 x 30 menit) alokasi kegiatan deskripsi kegiatan waktu pendahuluan 1. Pembahasan kali ini merupakan lanjutan dari tugas sebelumnya, dimana kalian telah mengerjakan soal uraian halaman 16 pada buku matematika. Berikut ini adalah pembahasan dan kunci jawaban matematika kelas 8 semester 1 halaman 20. Membaca dan menulis lambang bilangan bulat halaman 10, 11. Materi dan soal pecahan kelas 4 sd matematika. Titian mahir matematika kelas 6 hal. Die besten bücher bei amazon.de. Pembagian bilangan bulat halaman 49. Latihan soal matematika sd untuk kelas 6 cakra matematika progesif teks utama sd kelas 6 penilaian indikator pencapaian kompetensi teknik penilaian bentuk instrumen instrumen/ soal melakukan pekerjaan hitung campuran mencari faktor prima suatu bilangan tugas indvidu. Matematika sd kelas i, penerbit aneka ilmu •buku paket pelajaran ipa sd kelas i, penerbit sahabat.
Berbagi
Posting Komentar
untuk "Tugas Rumah 3.1 Matematika Kelas 6 Halaman 61 : Kunci Jawaban Bupena 6c K13 Revisi - Luas segi volume genjang luas berbagai individu buku hal."
Posting Komentar untuk "Tugas Rumah 3.1 Matematika Kelas 6 Halaman 61 : Kunci Jawaban Bupena 6c K13 Revisi - Luas segi volume genjang luas berbagai individu buku hal."