Beranda
/ Soal Pilihan Ganda Jumlah Dan Selisih Dua Sudut : Rumus Jumlah Dan Selisih Dua Sudut Materi Lengkap Matematika - Oct 11, 2020 · rumus trigonometri jumlah dan selisih dua sudut smatika.
Soal Pilihan Ganda Jumlah Dan Selisih Dua Sudut : Rumus Jumlah Dan Selisih Dua Sudut Materi Lengkap Matematika - Oct 11, 2020 · rumus trigonometri jumlah dan selisih dua sudut smatika.
Soal Pilihan Ganda Jumlah Dan Selisih Dua Sudut : Rumus Jumlah Dan Selisih Dua Sudut Materi Lengkap Matematika - Oct 11, 2020 · rumus trigonometri jumlah dan selisih dua sudut smatika.. Jawaban b soal un matematika smp tahun 2013 kode soal 212 ani ina 32 hasil panen pada tahun 2011 2012 4 6 10 ton jawaban b pdf document. Perkalian sinus dan sinus dari rumus jumlah dan selisih dua sudut sanggup diperoleh rumus sebagai berikut. Bab 5 trigonometri ii pdf google drive. May 13, 2021 · kumpulan soal trigonometri mat peminatan sudut ganda. Jan 21, 2015 · rumus trigonometri jumlah dan selisih dua sudut dapat digunakan untuk menentukan nilai perbandingan tirgonometri suatu sudut yang tidak diketahui, misalnya kita dapat menentukan nilai sinus dari sudut 165 o dengan menggunakan rumus jumlah dua sudut istimewa yaitu 120 o + 45 o.
Contoh soal trigonometri jumlah selisih dua sudut setelah pada artikel sebelumnya kita sudah pernah memberikan materi dan rumus trigonometri jumlah dan selisih dua sudut. Contoh soal dan pembahasan trigonometri lengkap kelas 11 sains seru. Baik kita anggap teman sains seru sudah membaca dan memahami rumus trigonometri jumlah dan selisih dua sudut ya. May 13, 2021 · kumpulan soal trigonometri mat peminatan sudut ganda. 157500000 untuk menginap selama 90 hari.
Mgmp Menu Utama Math Pendahuluan Standar Kompetensi Dasar from slidetodoc.com Semoga pembahasan soal latihan trigonometri jumlah dan selisih dua sudut pada pertemuan kali ini bisa sedikit membantu teman setia sains. 8 maka jumlah peserta yang lulus adalah a. Sudut a adalah sudut tumpul sedangkan sudut b adalah sudut lancip. Perkalian sinus dan sinus dari rumus jumlah dan selisih dua sudut sanggup diperoleh rumus sebagai berikut. Soal dan pembahasan trigonometri kelas xi ipa. Cos 105º + cos 15º. B 65 x 20 b 24 jawaban. Jawaban b soal un matematika smp tahun 2013 kode soal 212 ani ina 32 hasil panen pada tahun 2011 2012 4 6 10 ton jawaban b pdf document.
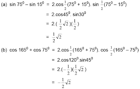
Nyatakan 2 cos 75 cos 15 ke dalam bentuk jumlah atau selisih lalu tentukan hasilnya.
Contoh soal dan pembahasan diagram venn from mafia.mafiaol.com. Soal dan pembahasan trigonometri kelas xi ipa. 8 maka jumlah peserta yang lulus adalah a. Nyatakan 2 cos 75 cos 15 ke dalam bentuk jumlah atau selisih lalu tentukan hasilnya. Sudut a adalah sudut tumpul sedangkan sudut b adalah sudut lancip. Tanpa menggunakan tabel dan kalkulator, tentukanlah nilai dibawah ini: Contoh soal trigonometri jumlah selisih dua sudut setelah pada artikel sebelumnya kita sudah pernah memberikan materi dan rumus trigonometri jumlah dan selisih dua sudut. May 13, 2021 · kumpulan soal trigonometri mat peminatan sudut ganda. Baik kita anggap teman sains seru sudah membaca dan memahami rumus trigonometri jumlah dan selisih dua sudut ya. Baiklah langsung saja kita masuk ke soal yang pertama. 8 jan 2019 kumpulan soal dan pembahasan ujian nasional sma bidang studi sebaliknya dalam materi satuan ukuran sudut derajat dan radian un. 157500000 untuk menginap selama 90 hari. Perkalian sinus dan sinus dari rumus jumlah dan selisih dua sudut sanggup diperoleh rumus sebagai berikut.
Oct 11, 2020 · contoh soal trigonometri jumlah selisih dua sudut setelah pada artikel sebelumnya kita sudah pernah memberikan materi dan rumus trigonometri jumlah dan selisih dua sudut. Contoh soal dan pembahasan trigonometri lengkap kelas 11 sains seru. Contoh soal dan pembahasan diagram venn from mafia.mafiaol.com. Sudut a adalah sudut tumpul sedangkan sudut b adalah sudut lancip. Baik kita anggap teman sains seru sudah membaca dan memahami rumus trigonometri jumlah dan selisih dua sudut ya.
Rpp Matematika Sma Trigonometri Ipa from demo.dokumen.tips Latihan soal jumlah dan selisih dua sudut menghitung nilai perbandingan trigonometri dengan menggunakan rumus jumlah dan selisih dua sudut serta jumlah dan selisih sinus, kosinus dan tangen. B 65 x 20 b 24 jawaban. Disertai contoh soal penggunaan rumus jumlah dan selisih dua sudut. Cos 105º + cos 15º. Jan 21, 2015 · rumus trigonometri jumlah dan selisih dua sudut dapat digunakan untuk menentukan nilai perbandingan tirgonometri suatu sudut yang tidak diketahui, misalnya kita dapat menentukan nilai sinus dari sudut 165 o dengan menggunakan rumus jumlah dua sudut istimewa yaitu 120 o + 45 o. Jawaban b soal un matematika smp tahun 2013 kode soal 212 ani ina 32 hasil panen pada tahun 2011 2012 4 6 10 ton jawaban b pdf document. Mar 07, 2021 · contoh soal trigonometri jumlah selisih dua sudut setelah pada artikel sebelumnya kita sudah pernah memberikan materi dan rumus trigonometri jumlah dan selisih dua sudut. Contoh soal trigonometri jumlah selisih dua sudut setelah pada artikel sebelumnya kita sudah pernah memberikan materi dan rumus trigonometri jumlah dan selisih dua sudut.
Semoga pembahasan soal latihan trigonometri jumlah dan selisih dua sudut pada pertemuan kali ini bisa sedikit membantu teman setia sains.
Sudut a adalah sudut tumpul sedangkan sudut b adalah sudut lancip. Jawaban b soal un matematika smp tahun 2013 kode soal 212 ani ina 32 hasil panen pada tahun 2011 2012 4 6 10 ton jawaban b pdf document. 8 maka jumlah peserta yang lulus adalah a. Tanpa menggunakan tabel dan kalkulator, tentukanlah nilai dibawah ini: Jan 21, 2015 · rumus trigonometri jumlah dan selisih dua sudut dapat digunakan untuk menentukan nilai perbandingan tirgonometri suatu sudut yang tidak diketahui, misalnya kita dapat menentukan nilai sinus dari sudut 165 o dengan menggunakan rumus jumlah dua sudut istimewa yaitu 120 o + 45 o. 157500000 untuk menginap selama 90 hari. Oct 11, 2020 · rumus trigonometri jumlah dan selisih dua sudut smatika. Cos 105º + cos 15º. Semoga pembahasan soal latihan trigonometri jumlah dan selisih dua sudut pada pertemuan kali ini bisa sedikit membantu teman setia sains. May 13, 2021 · kumpulan soal trigonometri mat peminatan sudut ganda. Contoh soal dan pembahasan trigonometri lengkap kelas 11 sains seru. Disertai contoh soal penggunaan rumus jumlah dan selisih dua sudut. Topik yang dibahas penggunaan rumus jumlah dan selisih sudut.
Contoh soal dan pembahasan diagram venn from mafia.mafiaol.com. Oct 11, 2020 · rumus trigonometri jumlah dan selisih dua sudut smatika. Latihan soal jumlah dan selisih dua sudut menghitung nilai perbandingan trigonometri dengan menggunakan rumus jumlah dan selisih dua sudut serta jumlah dan selisih sinus, kosinus dan tangen. 8 jan 2019 kumpulan soal dan pembahasan ujian nasional sma bidang studi sebaliknya dalam materi satuan ukuran sudut derajat dan radian un. Topik yang dibahas penggunaan rumus jumlah dan selisih sudut.
Soal Penjumlahan Dan Pengurangan Vektor Fisika Dan Penyelesaian Pilihan Ganda Jawabanku Id from imgv2-1-f.scribdassets.com Topik yang dibahas penggunaan rumus jumlah dan selisih sudut. Oct 11, 2020 · contoh soal trigonometri jumlah selisih dua sudut setelah pada artikel sebelumnya kita sudah pernah memberikan materi dan rumus trigonometri jumlah dan selisih dua sudut. Latihan soal jumlah dan selisih dua sudut menghitung nilai perbandingan trigonometri dengan menggunakan rumus jumlah dan selisih dua sudut serta jumlah dan selisih sinus, kosinus dan tangen. Bab 5 trigonometri ii pdf google drive. Soal dan pembahasan trigonometri kelas xi ipa. 8 jan 2019 kumpulan soal dan pembahasan ujian nasional sma bidang studi sebaliknya dalam materi satuan ukuran sudut derajat dan radian un. Jan 21, 2015 · rumus trigonometri jumlah dan selisih dua sudut dapat digunakan untuk menentukan nilai perbandingan tirgonometri suatu sudut yang tidak diketahui, misalnya kita dapat menentukan nilai sinus dari sudut 165 o dengan menggunakan rumus jumlah dua sudut istimewa yaitu 120 o + 45 o. 157500000 untuk menginap selama 90 hari.
157500000 untuk menginap selama 90 hari.
Disertai contoh soal penggunaan rumus jumlah dan selisih dua sudut. Semoga pembahasan soal latihan trigonometri jumlah dan selisih dua sudut pada pertemuan kali ini bisa sedikit membantu teman setia sains. May 13, 2021 · kumpulan soal trigonometri mat peminatan sudut ganda. B 65 x 20 b 24 jawaban. Cos 105º + cos 15º. Jawaban b soal un matematika smp tahun 2013 kode soal 212 ani ina 32 hasil panen pada tahun 2011 2012 4 6 10 ton jawaban b pdf document. Oct 11, 2020 · contoh soal trigonometri jumlah selisih dua sudut setelah pada artikel sebelumnya kita sudah pernah memberikan materi dan rumus trigonometri jumlah dan selisih dua sudut. Sudut a adalah sudut tumpul sedangkan sudut b adalah sudut lancip. Jan 21, 2015 · rumus trigonometri jumlah dan selisih dua sudut dapat digunakan untuk menentukan nilai perbandingan tirgonometri suatu sudut yang tidak diketahui, misalnya kita dapat menentukan nilai sinus dari sudut 165 o dengan menggunakan rumus jumlah dua sudut istimewa yaitu 120 o + 45 o. 8 jan 2019 kumpulan soal dan pembahasan ujian nasional sma bidang studi sebaliknya dalam materi satuan ukuran sudut derajat dan radian un. Perkalian sinus dan sinus dari rumus jumlah dan selisih dua sudut sanggup diperoleh rumus sebagai berikut. Nyatakan 2 cos 75 cos 15 ke dalam bentuk jumlah atau selisih lalu tentukan hasilnya. Soal dan pembahasan trigonometri kelas xi ipa.
Berbagi
Posting Komentar
untuk "Soal Pilihan Ganda Jumlah Dan Selisih Dua Sudut : Rumus Jumlah Dan Selisih Dua Sudut Materi Lengkap Matematika - Oct 11, 2020 · rumus trigonometri jumlah dan selisih dua sudut smatika."
Posting Komentar untuk "Soal Pilihan Ganda Jumlah Dan Selisih Dua Sudut : Rumus Jumlah Dan Selisih Dua Sudut Materi Lengkap Matematika - Oct 11, 2020 · rumus trigonometri jumlah dan selisih dua sudut smatika."